• Предмет: Математика
  • Автор: bogik2007
  • Вопрос задан 2 года назад

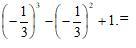
ПОМОГИТЕ ПЖ, РЕШИТЕ С ДЕЙСТВИЯМИ.

Приложения:

Ответы

Ответ дал: autovak
2

Ответ:

1

Пошаговое объяснение:

дроби сократи и получится 1 ......

Ответ дал: sahpazovaamina544
0

Ответ:3 1/3-2 1/3+1=2

Пошаговое объяснение:

Вас заинтересует