это дз прошууу помогитееее ,
даю 20 баллов
Приложения:

Аноним:
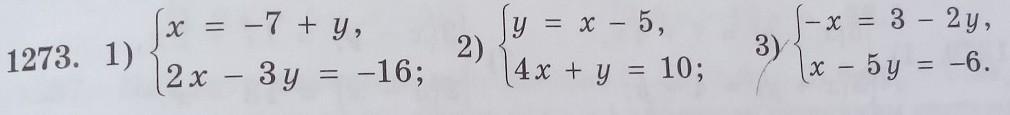
найдите решение систем уравнений 1273
Ответы
Ответ дал:
1
Ответ:
х-у=7+у-у
2х-3у+16=0
0=х-5
2(2х+у*х)
2у=3-5
2у=-2
х-5у+6=6+6
Ответ дал:
0
Ответ:
2(-7+y)-3y=-16
y=2
x=-7+2
x=-5
Вас заинтересует
1 год назад
1 год назад
3 года назад
8 лет назад
8 лет назад