упростить
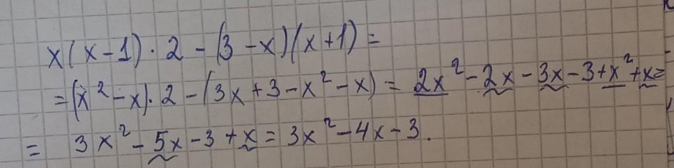
x(x -1)* 2 - (3- x)*(x +1)
nadia03nikolaeva:
(x-1)*2
Ответы
Ответ дал:
0
Ответ:
Так думаю
Если неправильно простите
Приложения:

Вас заинтересует
1 год назад
1 год назад
1 год назад
1 год назад
3 года назад
8 лет назад