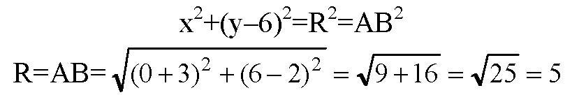
Напишите уравнение окружности с центром в точке А(0,6), проходящей через точку В(-3,2)
помогите пожалуйста
Ответы
Ответ дал:
1
Ответ:
Объяснение:
дано:
Приложения:

Sasha20052006:
это все?
Вас заинтересует
1 год назад
1 год назад
1 год назад
3 года назад
3 года назад
8 лет назад