• Предмет: Алгебра
  • Автор: makevyshka
  • Вопрос задан 2 года назад

СРОЧНО!!!!

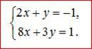
Розв‘яжіть систему рівнянь методом підстановки

Приложения:

Ответы

Ответ дал: ukrein71
1

{y=-1-2x

{8x+3y=1

8x+3(-1-2x)=1

2x=1+3

2x=4

x=2

y=-1-2•2

y=-5

Вас заинтересует