• Предмет: Математика
  • Автор: alonavadum
  • Вопрос задан 2 года назад

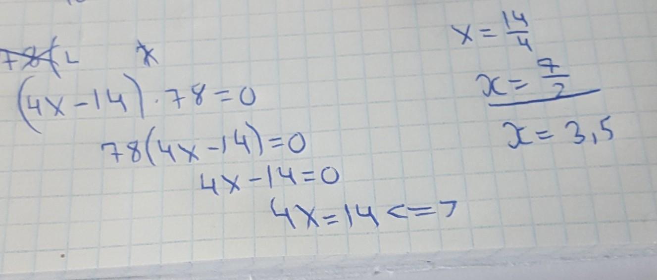
Допоможіть розв’язати рівняння (4х-14)*78=0

Ответы

Ответ дал: vityamath
0

Ответ:

3.5

Пошаговое объяснение:

Решение на данной фотографии.

Приложения:
Вас заинтересует