• Предмет: Математика
  • Автор: kiuklik
  • Вопрос задан 2 года назад

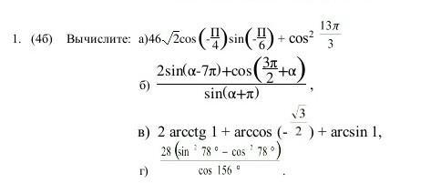
Пожалуйста, помогите, срочно!!!​

Приложения:

Ответы

Ответ дал: Asilijyisbulatova
0

Ответ:

в

Пошаговое объяснение: я подумала и написала в нужно думать попробуй если неправильно то передумаю

Вас заинтересует