Ответы
                                            Ответ дал: 
                                                                                    
                                        
                                            
                                                
                                                
                                                
                                                    1
                                                
                                            
                                        
                                    Ответ:
y=10 x=(-12)
Объяснение:
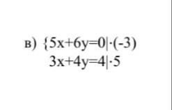
5x+6y=0|×(-3)
3x+4y=4|×5
-15x-18y=0
+
15x+20y=20
__________
0 + 2y = 20
2y=20
y=10
15x+20×10=20
15x=20-200
x=(-180):15
x=(-12)
Вас заинтересует
                
                        1 год назад
                    
                
                        1 год назад
                    
                
                        1 год назад
                    
                
                        3 года назад
                    
                
                        3 года назад
                    
                
                        8 лет назад