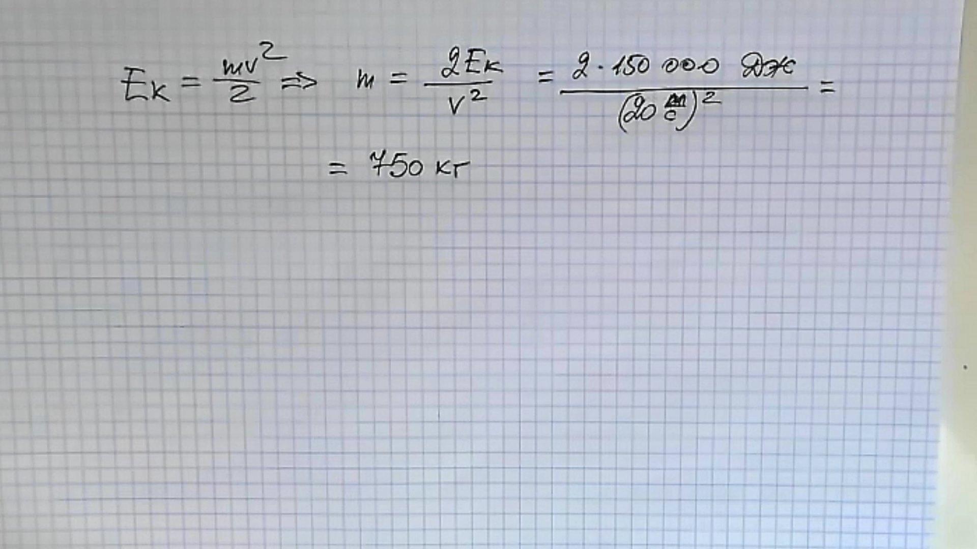
1)ЧЕМУ РАВНА МАССА ТЕЛА,ЕСЛИ ЕГО КИНЕТИЧЕСКАЯ ЭНЕРГИЯ РАВНА 150 кДж,ПРИ СКОРОСТИ ДВИЖЕНИЯ 20м/с?
Ответы
Ответ дал:
0
Ответ:
Объяснение:
РАВНА МАССА ТЕЛА,ЕСЛИ ЕГО КИНЕТИЧЕСКАЯ ЭНЕРГИЯ РАВНА 150 кДж,ПРИ СКОРОСТИ ДВИЖЕНИЯ 20м/с?
Приложения:

Вас заинтересует
1 год назад
1 год назад
1 год назад
3 года назад
8 лет назад