• Предмет: Алгебра
  • Автор: IBRJPFDH6666
  • Вопрос задан 2 года назад

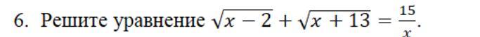
СРОЧНО! ДАЮ 40 БАЛЛОВ!

Приложения:

Ответы

Ответ дал: ekarinka38
0

Объяснение:

......................корень 2 корень три плюс 15 неь

Вас заинтересует