Ответы
Ответ дал:
2
Ответ:
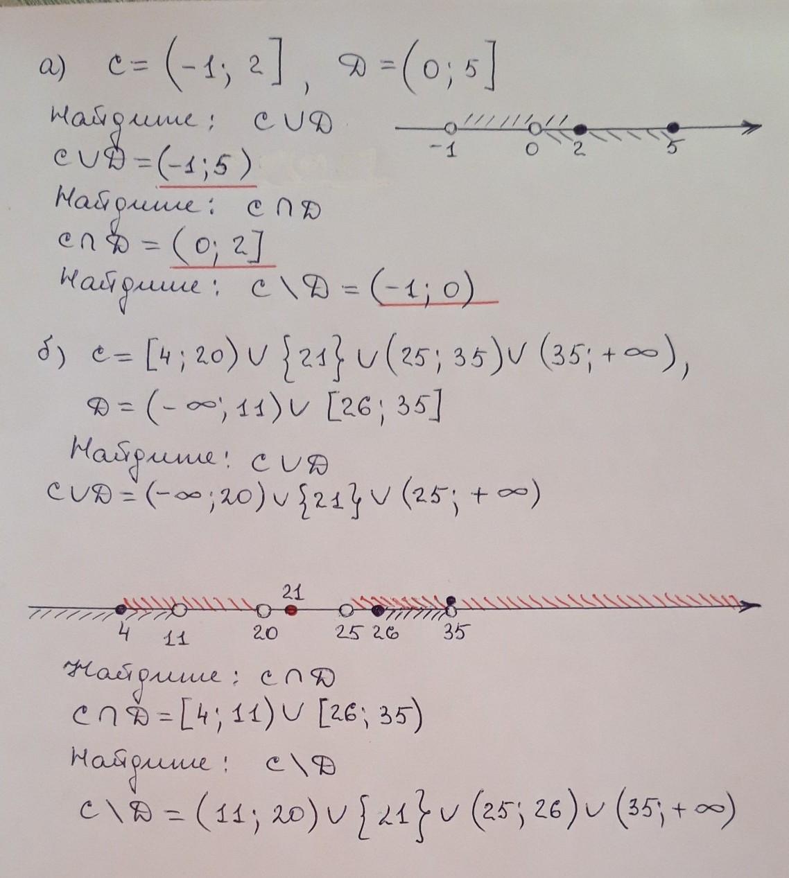
Обьединение и пересечение множеств.
Приложения:

chelovekrubik:
помогите еще пожалуйста https://znanija.com/task/36292445
Вас заинтересует
1 год назад
1 год назад
1 год назад
8 лет назад