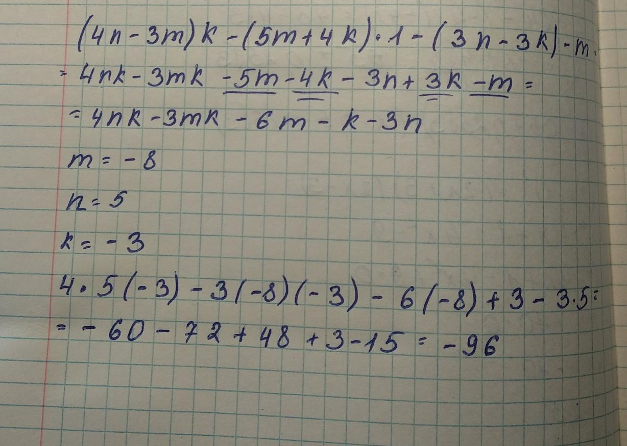
Упростите выражение и вычислите его числовое значение:
(4n - Зm) k— (5m + 4k) 1 - (3n — 3k) - m, если m = -8; n = 5; k= -3.
Ответы
Ответ дал:
3
Пошаговое объяснение:
Привет)
решение во вложении.
Всегда рада помочь)
Удачи тебе)
Приложения:

Аноним:
спасибо
Вас заинтересует
1 год назад
1 год назад
3 года назад
8 лет назад