• Предмет: Алгебра
  • Автор: artexkara
  • Вопрос задан 2 года назад

Помогите решить!

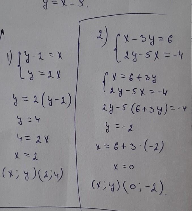
1) Решите графически систему

у – 2 = х,
у = 2х.


2) Решите систему способом подстановки

х – 3у = 6,
2у – 5х = -4.





Ответы

Ответ дал: raximovjasur508
0

Объяснение:

вот ответ переписывай

Приложения:
Вас заинтересует