• Предмет: Алгебра
  • Автор: kareglazayakrasotka1
  • Вопрос задан 2 года назад

Срочно помогите!!!!!!!!!!!!!!!!!!
решить
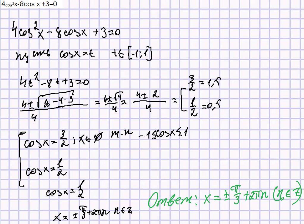
4cos^{2}x-8cos x +3=0

Ответы

Ответ дал: Аноним
1

Ответ:

x=±π/3+2πn (n∈Z)

Объяснение:

Приложения:

kareglazayakrasotka1: Помоги еще с одним, если не сложно
kareglazayakrasotka1: https://znanija.com/task/36290457
Вас заинтересует