• Предмет: Математика
  • Автор: Аноним
  • Вопрос задан 2 года назад

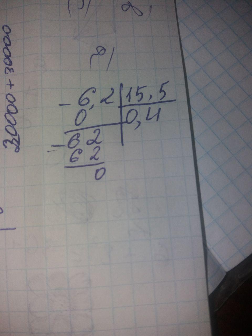
Срочно. В столбик решите 6,2 : 15,5
Сфотографировать результат

Ответы

Ответ дал: mylovemaki
2

Ответ: На фотографии

ответ: 0,4

Пошаговое объяснение:

Мы переносим запятую на один знак. Т.к. мы не сможем так просто 62 разделить на 155, мы добавляем 0 к 62 (Получается 620), а к будущему ответу добавляем "0,". Делим 620 на 155, получаем 4

Итог, ответ: 0,4

Приложения:

Аноним: Откуда 620?
mylovemaki: я написала объяснение, надеюсь, понятно
Аноним: Понятно. Большое спасибо)
Ответ дал: bilibaanna894
1

Ответ:

0,4

Пошаговое объяснение:

Приложения:

Аноним: Спасибо!
Вас заинтересует