• Предмет: Алгебра
  • Автор: pakulinnazar098
  • Вопрос задан 2 года назад

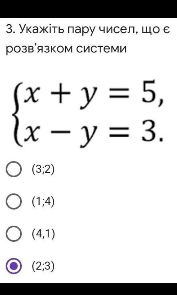
Укажіть пару чисел, що є розв’язком системи​ дуже срочно кр​

Приложения:

Ответы

Ответ дал: gdcbdjdndbv
0

Відповідь:

(4.1)

Пояснення:

Вас заинтересует