• Предмет: Алгебра
  • Автор: Jdjn1
  • Вопрос задан 2 года назад

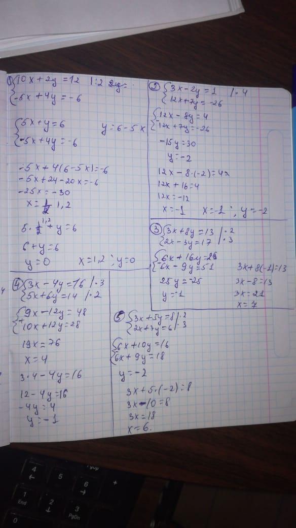
Решите методом алгебраическим решением даю 79
баллов

Приложения:

Ответы

Ответ дал: kokhanyura26
2

Ответ:

1-е решил времени нет ещё решить

Объяснение:

Приложения:
Ответ дал: dianaturlubekova
1

Если тебе что то не понятно, можешь смело спрашивать. Удачи!

Приложения:
Вас заинтересует