• Предмет: Математика
  • Автор: VeroNika001001
  • Вопрос задан 2 года назад

Очень срочно!! 30 баллов
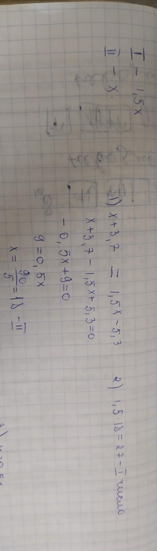
задание на фото​

Приложения:

Ответы

Ответ дал: imamverdiyevaleman13
0

Ответ:

27и 18

................

Приложения:
Вас заинтересует