• Предмет: Математика
  • Автор: assetbai2901
  • Вопрос задан 2 года назад

Найдите решение системы уравнений:с полным ответом
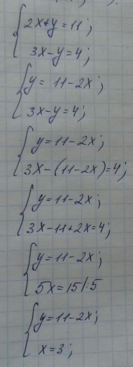
5)(2x+y=11
(3x-y=4​

Ответы

Ответ дал: Koniak777
0

Ответ:

Пошаговое объяснение:

Приложения:
Вас заинтересует