• Предмет: Алгебра
  • Автор: aliyakarabekova1
  • Вопрос задан 2 года назад

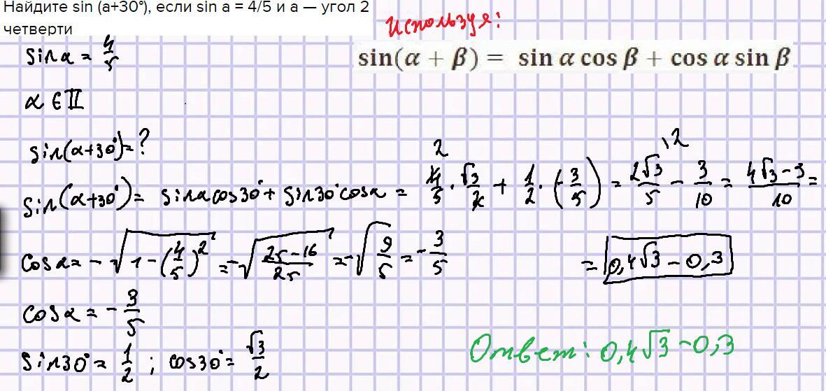
Найдите sin (a+30°), если sin a = 4/5 и a — угол 2 четверти

Ответы

Ответ дал: Аноним
0

Ответ:

0,4\sqrt{3}-0,3

Объяснение:

Приложения:
Вас заинтересует