• Предмет: Математика
  • Автор: VXIX
  • Вопрос задан 2 года назад

Вычислите и решите:
а) 0,5 √0,01+1/4 √144
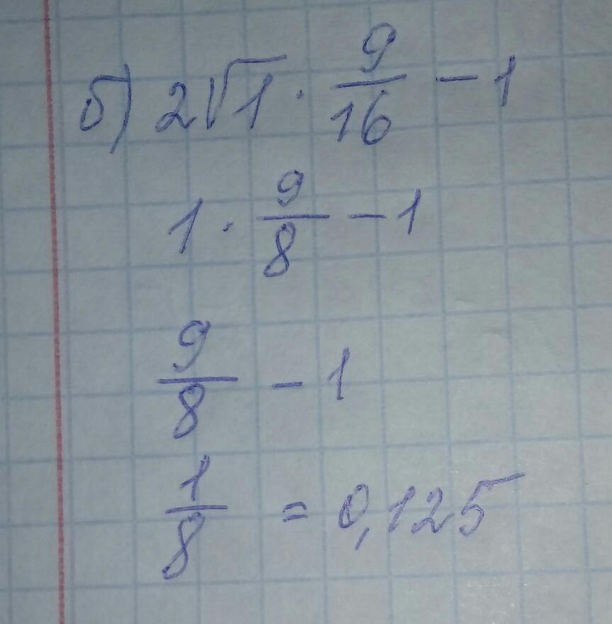
б) 2 √1 9/16-1
в) (2 √0,5)^2

Ответы

Ответ дал: maskalevamargarita18
2

Ответ:

Именно так и понятно всё должно быть достаточно

Приложения:
Вас заинтересует