Ответы
Ответ дал:
1
Ответ:
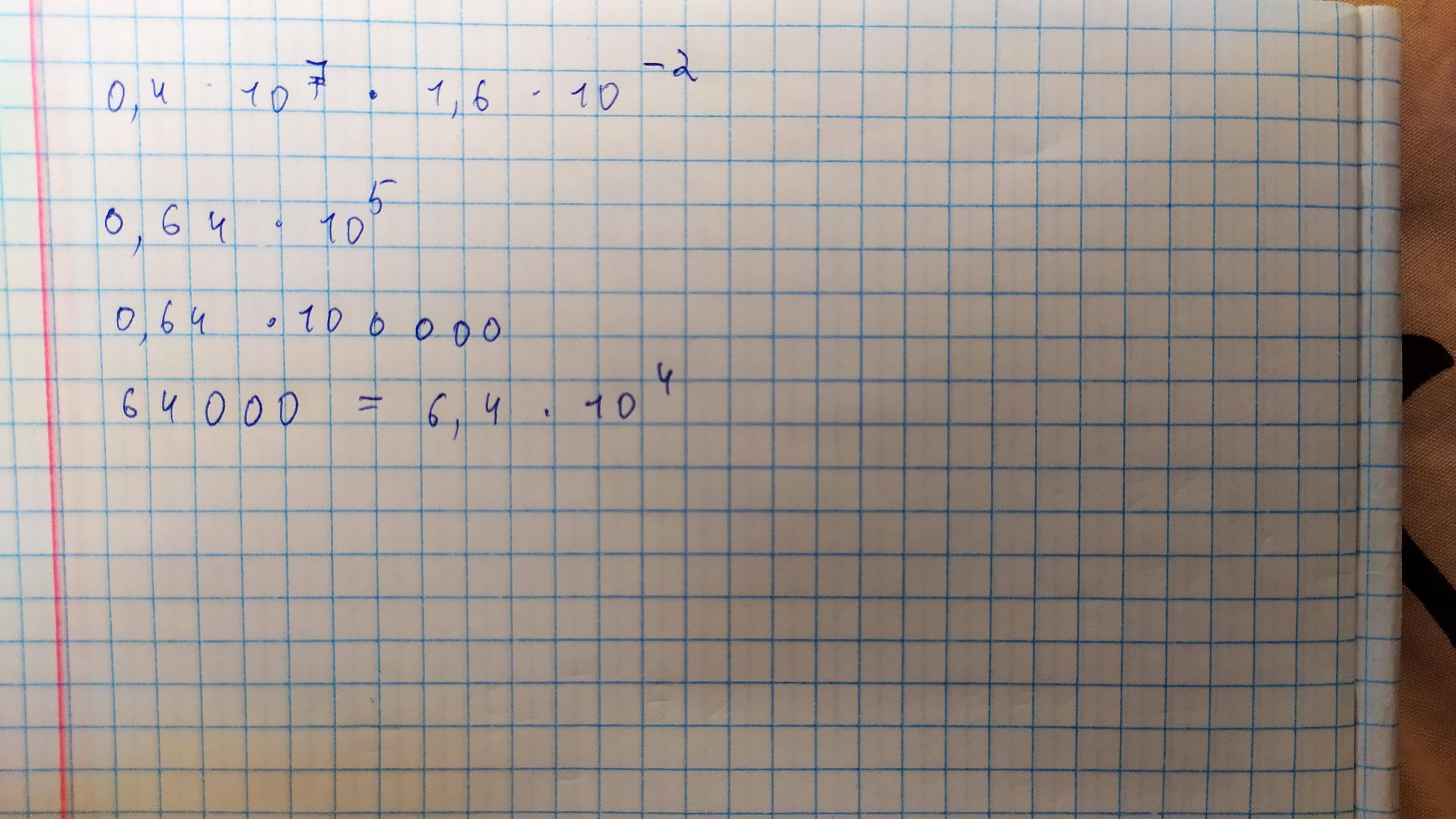
Объяснение: ответ на фото ниже
Приложения:

ayvazyansasha261104:
сенкью
Вас заинтересует
1 год назад
1 год назад
1 год назад
1 год назад
3 года назад
3 года назад
8 лет назад
8 лет назад