Ответы
Ответ дал:
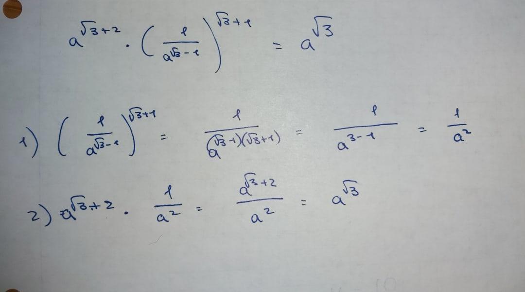
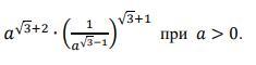
1
надеюсь будет понятно
Приложения:

rhfcysqubufyn:
Всё понятно, спасибо. Забыл, что 1 в любой степени даёт 1 и 20 минут тупил с получившейся дробью.
Вас заинтересует
1 год назад
1 год назад
1 год назад
3 года назад
3 года назад