• Предмет: Математика
  • Автор: ulip420
  • Вопрос задан 2 года назад

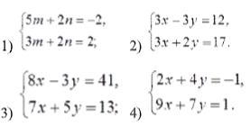
ПОМОГИТЕ СРОЧНО МАТЕМАТИКА ПОЖАЛУЙСТА

Приложения:

Ответы

Ответ дал: Аноним
0

Ответ:

Пошаговое объяснение:

Приложения:
Вас заинтересует