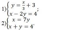
ПОМОГИТЕ ПОЖАЛУЙСТА ДАЮ 60 БАЛЛОВ. Обязательно с графиком, если без него - буду жаловаться.
Приложения:

Ответы
Ответ дал:
1
Ответ: Прикрепила выше )))
Приложения:


Вас заинтересует
1 год назад
1 год назад
1 год назад
1 год назад
3 года назад
3 года назад
8 лет назад