• Предмет: Алгебра
  • Автор: waterlilj2
  • Вопрос задан 2 года назад

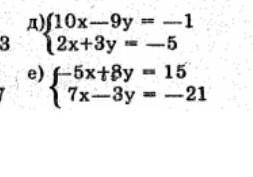
ПОМНИТЕ РЕШИТЬ СИСТЕМНЫЕ УРАВНЕНИЯ ​

Приложения:

Ответы

Ответ дал: maximilian101
0

Объяснение:

/////////////////////

Приложения:
Вас заинтересует