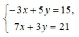
Розв’яжіть графічно систему рівнянь та вкажіть, у якій координатній чверті знаходиться розв’язок
Приложения:

Ответы
Ответ дал:
8
Ответ:
(сорян, украинский язык не знаю)
Приложения:

Вас заинтересует
1 год назад
1 год назад
1 год назад
3 года назад
8 лет назад
8 лет назад