• Предмет: Алгебра
  • Автор: werrre
  • Вопрос задан 2 года назад

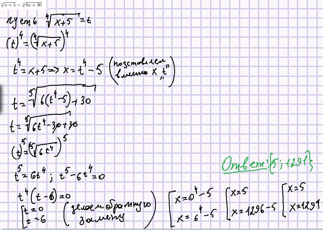
помогите решить уравнение \sqrt[4]{x+5} = \sqrt[5]{6x+30}

Ответы

Ответ дал: Аноним
0

Ответ:

{5;1291}

Объяснение:

Приложения:
Вас заинтересует