Ответы
Ответ дал:
1
Ответ:
Пошаговое объяснение:
Приложения:

Ответ дал:
1
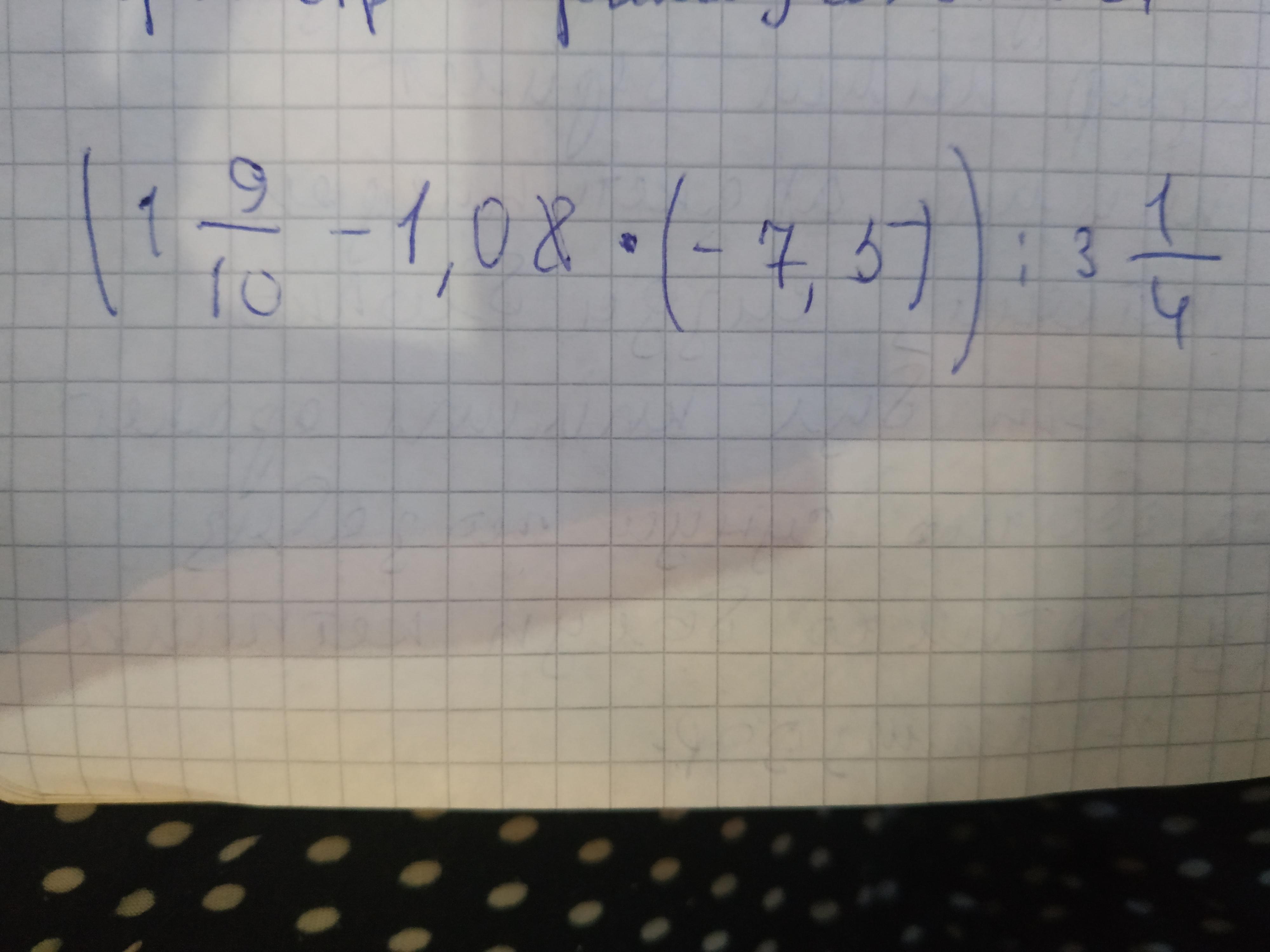
Ответ:(1 9/10-1,08*(-7,5)):3 1/4=3 1/13
1)1,08*(-7,5)=-8,1;
2)1 9/10-(-8,1)=1,9+8,1=10;
3)10:3 1/4=10:13/4=10*4/13=40/13=3 1/13.
Вас заинтересует
1 год назад
1 год назад
1 год назад
1 год назад
3 года назад
3 года назад
8 лет назад