• Предмет: Математика
  • Автор: aumifox
  • Вопрос задан 8 лет назад

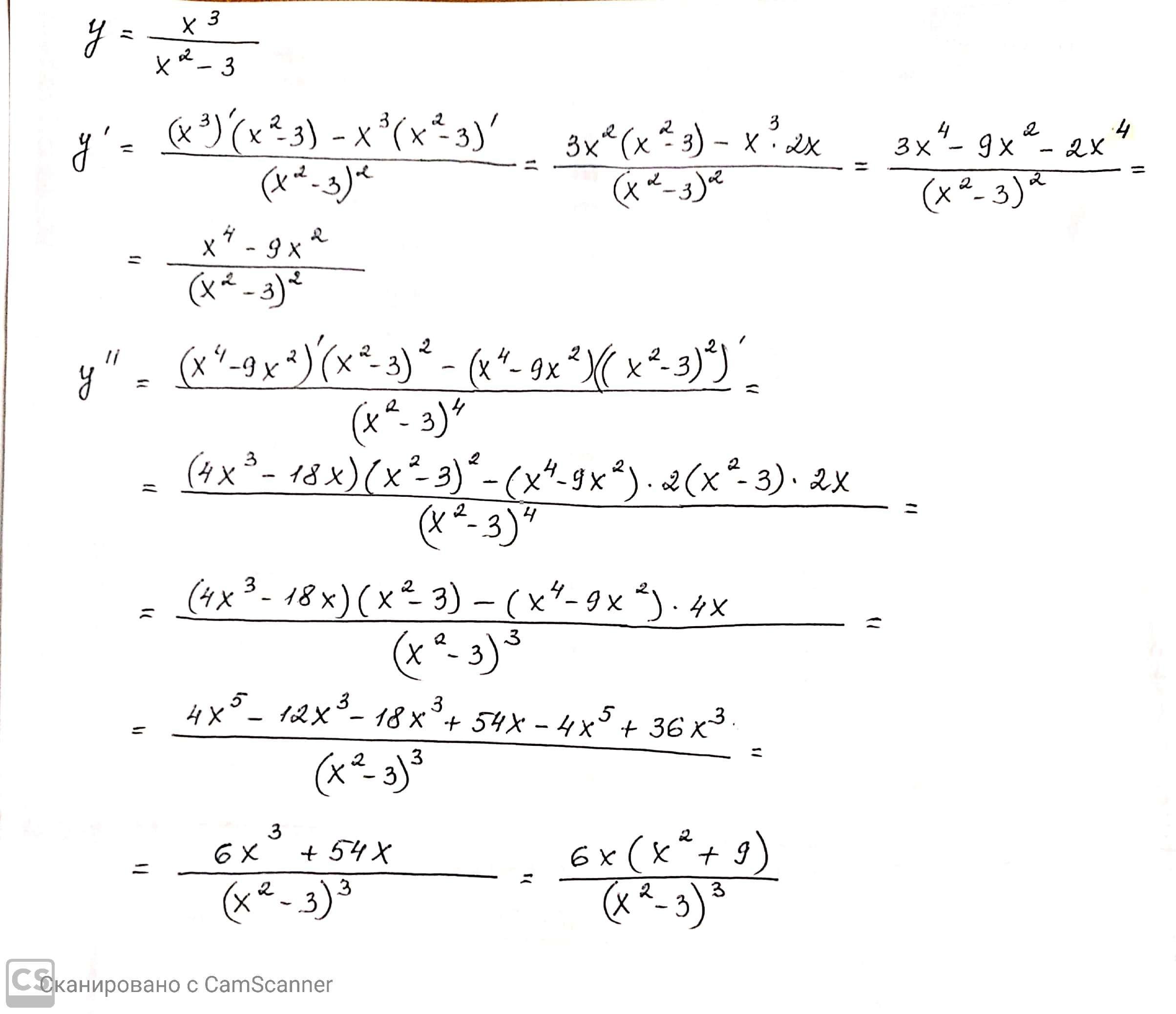
Помогите пожалуйста, мне надо найти 2ю производную

y = x^3/(x^2-3)

(если что 1ая производна = (x^2(x^2-9))/(x^2-3)^2

Ответы

Ответ дал: serjiof
0

Ответ:

Пошаговое объяснение: решение в файле

Приложения:
Вас заинтересует