• Предмет: Математика
  • Автор: angeltinianova
  • Вопрос задан 11 лет назад

Пожалуйста упростите выражения:
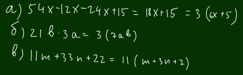
 а)54х -12х -24х+15.
 б)21хbх3ха.
 в) 11 м+33п+22

Ответы

Ответ дал: artem161298
0
54х-12х-24х+15=18х+15
21хbx3xa=3x(7bxa)
11m+33n+22=11(m+3n+2)
Ответ дал: nikolac
0
Решение на картинке.
Приложения:
Вас заинтересует