• Предмет: Алгебра
  • Автор: ulbaev92
  • Вопрос задан 2 года назад

Помогите пожалуйста решить Срочно!!!

Приложения:

Ответы

Ответ дал: oshhepkov02ozic2m
0

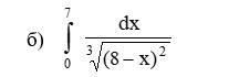
Ответ:

3

Объяснение:

заменяем (8-х) на переменную

используя свойства интеграла, преобразовываем

корень выражаем в виде степени

подставляем обратно переменную

и вычисляем заменяя х на числа 7 и 0

Вас заинтересует