Ответы
Ответ дал:
0
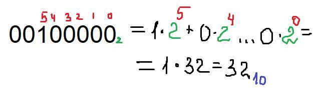
Ответ: 32
См. прикреплённый.
Объяснение:
Для перевода можно воспользоваться методом развёрнутой формы представления чисел:
Каждую цифру этого числа нужно умножить на основание системы счисления, возведённое в степень, равную позиции этой цифры в числе. Результат сложить.
Приложения:

Вас заинтересует
1 год назад
1 год назад
3 года назад
8 лет назад