• Предмет: Математика
  • Автор: minecraf22854
  • Вопрос задан 2 года назад

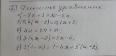
Помогите пожалуйста​

Приложения:

Ответы

Ответ дал: sashapetrov9212
1

Как то так, сорян что долго

Приложения:

minecraf22854: спасибо большое
Вас заинтересует