• Предмет: Алгебра
  • Автор: Klayzi
  • Вопрос задан 8 лет назад

Срочно дам 30 баллов!!!
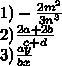
frac{ma-mb}{3n^{2} } *frac{2m}{nb-na} =\\frac{4ab}{cx+dx} * frac{ax+bx}{2ab} =\\frac{ax-ay}{5x^{2} } *  -(frac{5xy}{by-bx}) =\\
Очень быстро надо сделать.

Ответы

Ответ дал: umnik1169
0

Ответ:

1) -  frac{2m {}^{2} }{3n {}^{3} }  \ 2) frac{2a + 2b}{c + d }  \ 3) frac{ay}{bx}

Ответ дал: cane2
0

Ответ:

.......................................

Объяснение:

Приложения:
Вас заинтересует