• Предмет: Алгебра
  • Автор: daniilbojko0804
  • Вопрос задан 8 лет назад

СРОЧНО ДАЮ 40 БАЛОВ

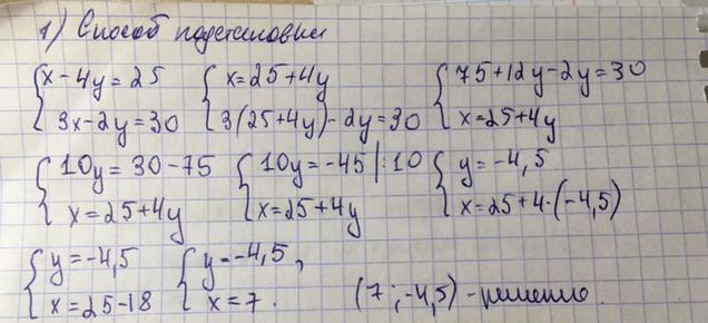
1 Решить способом подставки x-4y=25

3x-2y=30

2 решить систему способом

сложения:4x-7y=-12

-4x+3y=12

Ответы

Ответ дал: gagla34
0
Решение в прикрепленном фото.....
Приложения:
Ответ дал: Amigo3
0

Ответ:  1)  x-4*y=25⇒х=25+4*у

                 3*x-2*y=30⇒75+12*у-2*у=30⇒10*у=-45⇒у=-4,5. Тогда х=25-4*4,5=25-18=7

Ответ: х=7, у=-4,5.

2) -4*у=0⇒у=0, х=(7*у-12)/4=-12/4=-3. Ответ: х=-3, у=0.

Объяснение:

Приложения:
Ответ дал: Amigo3
0
дробная черта
Вас заинтересует