Ответы
Ответ дал:
0
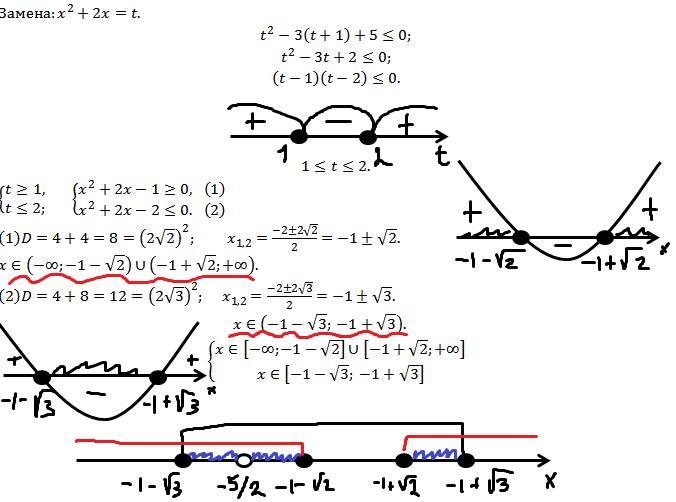
Ответ: [-1-√3; -2,5)∪(-2,5; -1-√2]∪[-1+√2; -1+√3].
Объяснение: вложения
Приложения:


Ответ дал:
0
Если что-то непонятно - спрашивайте
Вас заинтересует
2 года назад
2 года назад
3 года назад
3 года назад
8 лет назад
9 лет назад