• Предмет: Математика
  • Автор: stassh2007
  • Вопрос задан 8 лет назад

Реши уравнение:

−34⋅|x|+17=−1.

Ответ: x1=
x2=
(первым запиши меньшее число).

Ответы

Ответ дал: cane2
0

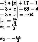
Ответ:

................................................

Пошаговое объяснение:

Приложения:
Ответ дал: afet74
0
тут = -1 на задаче
Ответ дал: cane2
0
а ой извините
Ответ дал: afet74
0
:(
Ответ дал: Zitrax
0
-3/4|х|+17=-1
-3/4|х|=-1-17
-3/4|х|=-18
|х|=-18/-3/4
|х|=24
Х1=-24
Х2=24
Приложения:
Вас заинтересует