• Предмет: Алгебра
  • Автор: marafongames56
  • Вопрос задан 8 лет назад

СРОЧНО!!
ДАМ 100 БАЛЛОВ!!!

Найти производную:

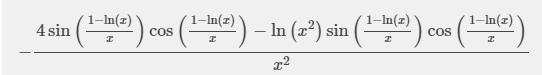
f(x)=sin^2⁡((1-ln⁡x)/x)

Найти точки перегиба функции:

f(x)=x^4+10x^3-100x+100

Решить интеграл:

∫(√x+1)(x-√x+1)ⅆx

Изобразить и найти площадь фигуры, ограниченной графиком функции f(x)=x^3-1, касательной к этому графику в точке x_0=-1 и осью Ох

Ответы

Ответ дал: zhdanova2003ru
0

Ответ:

Объяснение:

1. Производная на фото.

2. Точки перегиба (-5, -25) , (0, 100)

3.  Интеграл:

 frac{2sqrt{x+1 } *(x^{2} + 2x + 1 ) }{5}  - frac{2(x + 1) sqrt{x + 1} }{3} - frac{x^{2} }{2} - x + C

Приложения:
Вас заинтересует