Ответы
Ответ дал:
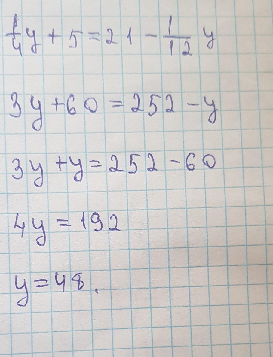
0
Пошаговое объяснение:
Это правельный ответ. Это точно
Приложения:

Ответ дал:
0
спасибо
Вас заинтересует
2 года назад
2 года назад
3 года назад
3 года назад
8 лет назад
9 лет назад