Определи значение выражения:
6x^−1−y^-1/6x^−1+y^−1, если y/x=7^−1.
Ответ (минус пиши в числителе):
6x^−1−y^−1/6x^−1+y^−1=.
                        
                            
                            
                    Ответы
                                            Ответ дал: 
                                                                                    
                                        
                                            
                                                
                                                
                                                
                                                    0
                                                
                                            
                                        
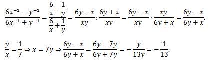
                                    ОТВЕТ: -1/13
Объяснение: во вложении.
Приложения:
                    
                            Вас заинтересует
                
                        2 года назад
                    
                
                        2 года назад
                    
                
                        8 лет назад
                    
                
                        9 лет назад
                    
                
                        9 лет назад