• Предмет: Алгебра
  • Автор: linester50
  • Вопрос задан 8 лет назад

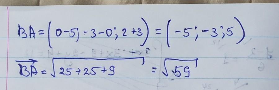
Даны точки А(0;-3;2) и В(5;0;-3). Найдите координаты и длину вектора ВА​​

Ответы

Ответ дал: ammaterasu
0

Ответ:

√59

Объяснение:

Если мне не изменяет память,то нужно делать так.

Приложения:
Вас заинтересует