• Предмет: Геометрия
  • Автор: danilbelienko8
  • Вопрос задан 8 лет назад

Даю 100 баллов,срочно нужно

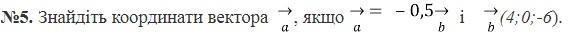
Приложения:

Ответа на этот вопрос пока нет. Попробуйте найти его через форму поиска.

Вас заинтересует