Ответы
Ответ дал:
0
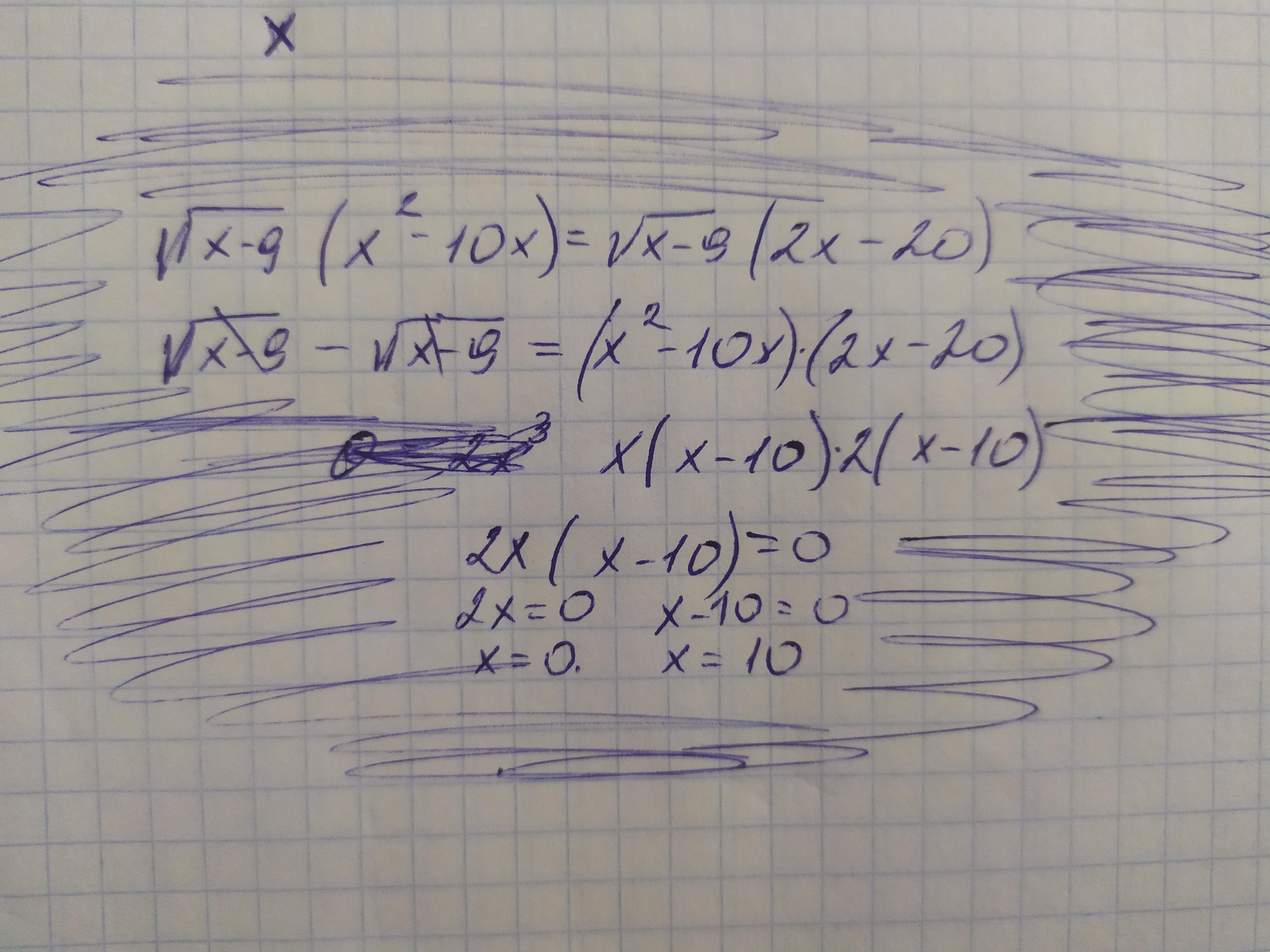
Ответ:я не уверена, но надеюсь помогла ..
Объяснение:фотка в помощь
Приложения:

Вас заинтересует
2 года назад
2 года назад
8 лет назад
8 лет назад
9 лет назад