Ответы
Ответ дал:
0
Ответ:
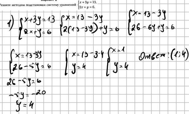
a) (1;4)
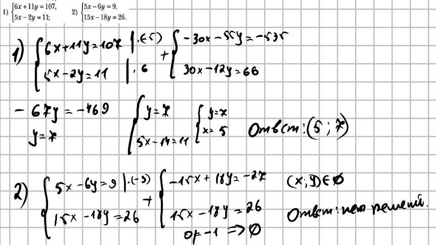
б) (2;1)
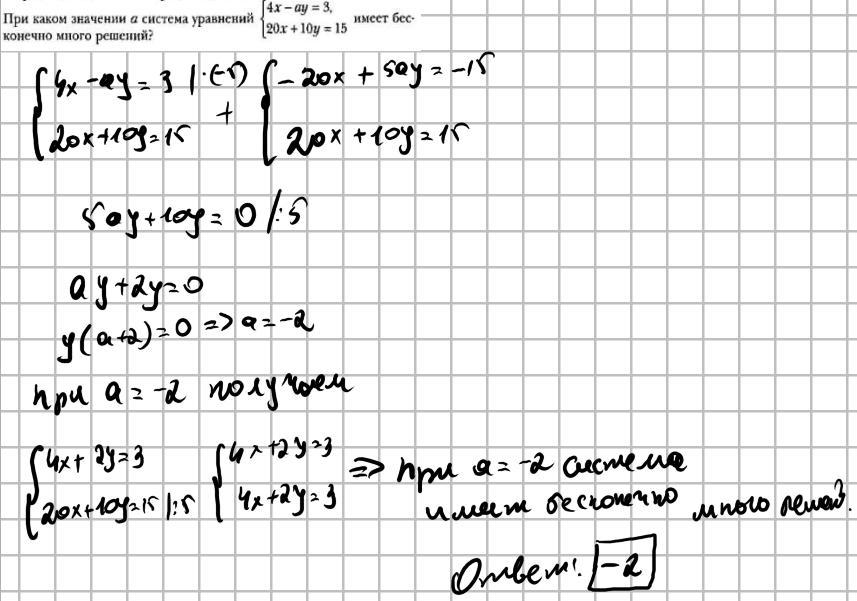
в) на фото
г) 1.(5;7) 2. (x;y)∈∅
д)
Объяснение:
Приложения:





Вас заинтересует
3 года назад
8 лет назад
8 лет назад
9 лет назад