• Предмет: Алгебра
  • Автор: sfsasadqwfwe
  • Вопрос задан 8 лет назад

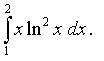
Помогите пожалуйста очень нужно отдам все баллы с решением пожалуйста

Приложения:

Ответы

Ответ дал: areviksanamyan
0

Ответ:

(ln(x)*x^2)/2 - x^2/4

2ln(2)-3/4

примерно =0.636

Вас заинтересует