Ответы
Ответ дал:
0
Ответ дал:
0
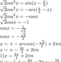
Вот задания которые вы просили
Приложения:

Вас заинтересует
2 года назад
3 года назад
3 года назад
8 лет назад
8 лет назад