• Предмет: Алгебра
  • Автор: rayana0495
  • Вопрос задан 8 лет назад

Напишите пожалуйста поэтапно!)

Приложения:

Ответы

Ответ дал: севак12
0

Ответ:

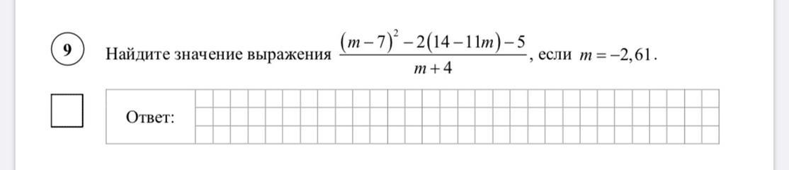
 frac{(m - 7)^{2} - 28 + 22m - 5 }{m + 4}

 frac{m ^{2} - 14m + 49 - 33  + 22m }{m + 4}

 frac{m ^{2} + 8m + 16 }{m + 4}

 frac{(m + 4) ^{2} }{m + 4}

m + 4

отсюда

 -2.61 + 4 = 1.39

Вас заинтересует