• Предмет: Алгебра
  • Автор: VacumSteam
  • Вопрос задан 8 лет назад

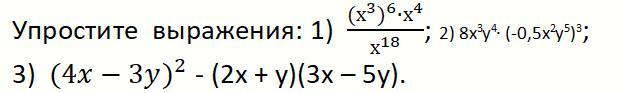
Упростите выражения
20Баллов

Приложения:

Ответы

Ответ дал: polonskaayaa
0

1) x^18*x^4/x^18 вычитаем степени, так как знак деления, остается x^4

2) 8x^3y^4(-0.125x^6y^15), перемножая 8 и -0.125 = -1

-x^9y^19

3 (4x)^2-2*4x*3y+(3y)^2 - (6x^2-10xy+3xy-5y^2)

16x^2-24xy+9y^2-6x^2+7xy+5y^2

10x^2-17xy+14y^2

Вас заинтересует