Ответы
Ответ дал:
0
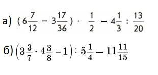
Ответ:
а) 3 целых 1/9
б)9 целых 1/5
Пошаговое объяснение:
Приложения:


Вас заинтересует
2 года назад
3 года назад
3 года назад
8 лет назад
9 лет назад
9 лет назад